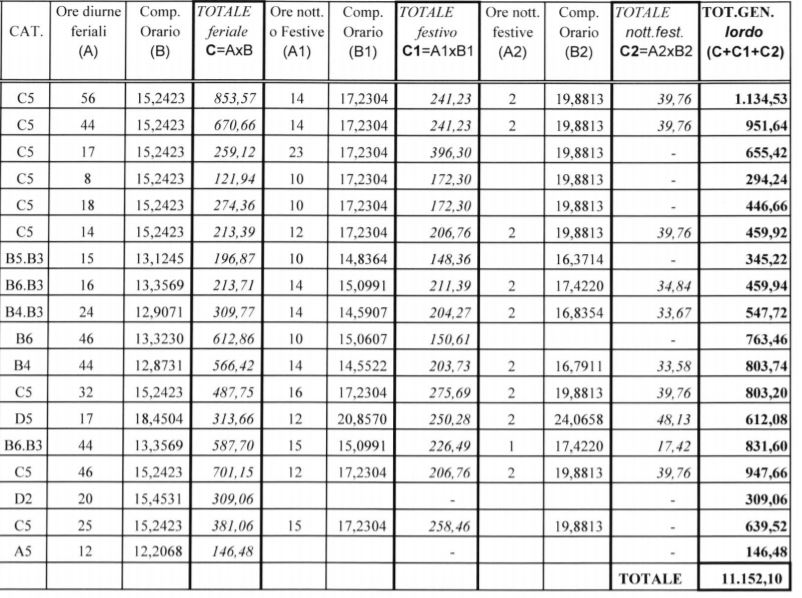
Per le elezioni comunali e il referendum sul taglio dei parlamentari , il comune di Agnone spende 11.152,10 Con determinazione dirigenziale n352 del 15 ottobre determina il monte ore e la ripartizione tra 14 dipendenti : "Le spese per straordinario relativo alle elezioni comunali, anche se legate ad un adempimento obbligatorio, sono da considerarsi spesa di personale e pertanto rimangono per intero a carico del bilancio comunale e devono essere incluse nella voce di spesa del personale ex articolo 1, comma 557 della legge 27 dicembre 2006, n. 296, ovvero ai fini del concorso delle autonomie regionali e locali al rispetto del patto di stabilità interno e del connesso obbligo di riduzione delle spese di personale (deliberazione n. 87/2011 della Corte dei Conti Regione Puglia, deliberazione n. 811/2009 della Corte dei Conti Regione Lombardia). Diverso è il caso delle spese connesse alle elezioni europee, politiche e regionali, ove è previsto un rimborso e quindi un’entrata che compensa la spesa del comune."
Di seguito uno stralcio della determina:
"Referendum Costituzionale ed Elezioni Comunali del 20 e 21 settembre 2020: liquidazione compensi lavoro straordinario al personale dell'Ufficio Elettorale Comunale.Di LIQUIDARE e PAGARE la somma complessiva di €.11.152,10 in favore dei dipendenti comunali elencati nel prospetto allegato, che fa parte integrante e sostanziale del presente dispositivo, per l’importo individuale a fianco di ciascuno indicato, quale compenso per prestazioni straordinarie eseguite in occasione del Referendum Costituzionale ed Elezioni Comunali del 20 e 21 settembre 2020;
2) Di DARE ATTO che gli oneri riflessi ammontano a €. 3.602,18 (8,50% IRAP € 947,98 + 23,80% CPDEL € 2.654,20); 3) Di PRENDERE ATTO che la spesa va ripartita al 50% tra il Comune e lo Stato, come stabilito dalla Circolare Ministero dell’Interno n°15/20 del 24/7/20, paragrafo 5); 4) Di IMPUTARE l’importo complessivo di € 14.754,28 sul Cap.1017 del bilancio corrente ad oggetto”Spese per elezioni” dando atto che la spesa è suddivisa nel seguente modo: • € 5.576,05 per compensi straordinario elezioni comunali • € 1.327,10 per onere CPDEL su straordinario elezioni comunali • € 473,99 per onere IRAP su straordinario elezioni comunali • € 5.576.05 per compensi straordinario referendum • € 1.327,10 per onere CPDEL su straordinario referendum 3 • € 473,99 per onere IRAP su straordinario referendum"

